paper link:
https://arxiv.org/pdf/1905.07129.pdf
Abstract:
Neural language representation models such as BERT pre-trained on large-scale corpora can well capture rich semantic patterns from plain text, and be fine-tuned to consistently improve the performance of various NLP tasks. However, the existing pre-trained language models rarely consider incorporating knowledge graphs (KGs), which can provide rich structured knowledge facts for better language understanding. We argue that informative entities in KGs can enhance language representation with external knowledge. In this paper, we utilize both large-scale textual corpora and KGs to train an enhanced language representation model (ERNIE), which can take full advantage of lexical, syntactic, and knowledge information simultaneously. The experimental results have demonstrated that ERNIE achieves significant improvements on various knowledge-driven tasks, and meanwhile is comparable with the state-of-the-art model BERT on other common NLP tasks. The source code of this paper can be obtained from this https URL
Introduction

(1) Structured Knowledge Encoding
encode the graph structure of KGs with knowledge embedding algorithms like TransE and take informative entity embeddings.
(2) Heterogeneous Information Fusion
ERNIE pre-train on large-scale textual corpora and KGs
Methodology

Figure 2: The left part is the architecture of ERNIE. The right part is the aggregator for the mutual
- Notations
entity to the first token in its named entity phrase.
- Model Architecture
basic lexical and syntactic information.
extra token-oriented
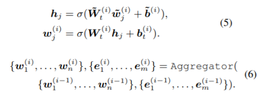
integration of the input of tokens and entities. Information fusion layer takes two kinds of input: one is the token embedding, and the other one is the concatenation of the token embedding and entity embedding. After information fusion, it outputs new token embeddings and entity embeddings for the next layer.
Knowledgeable Encoder

Pre-training for Injecting Knowledge


Figure 3: Modifying the input sequence for the specific tasks. To align tokens among different types of input, we use dotted rectangles as placeholder. The colorful rectangles present the specific mark tokens.
Fine-tuning for Specific Tasks
relation classification - apply the pooling layer to the final output embeddings of the given entity mentions.
(+) add two mark tokens to highlight entity mentions. [HD] and [TL]
Experiments

English Wikipedia as pre-training corpus and align text to Wikidata.
Before pre-training ERNIE, knowledge embeddings trained on Wikidata by TransE as the input embeddings for entities.
Entity Typing

BERT and ERNIE make full use of both the unsupervised pre-training and manually annotated training data for better entity typing.
informative entities help ERNIE predict the labels more precisely.
Relation Classification

pre-trained language models can provide more information for relation classification than CNN and RNN.
especially on FewRel
extra knowledge helps the model make full use of small training data